- Өзін - өзі бағалау
- Мектеп Парламенті
- «Мектепке жол» акциясы
- Құқық бұзушылықтың алдын алу
- ДОСБОЛLIKE
- Біртұтас тәрбие
- Психологиялық қызмет
- Логопедия
- Кәсіби бағдар
- Қосымша білім
- Терроризмге қарсы қауіпсіздік жөніндегі ақпараттық материалдар
- Ашық бюджеттер
- Мемлекеттік қызметтер
- Бос орындар
- Адал ұрпақ
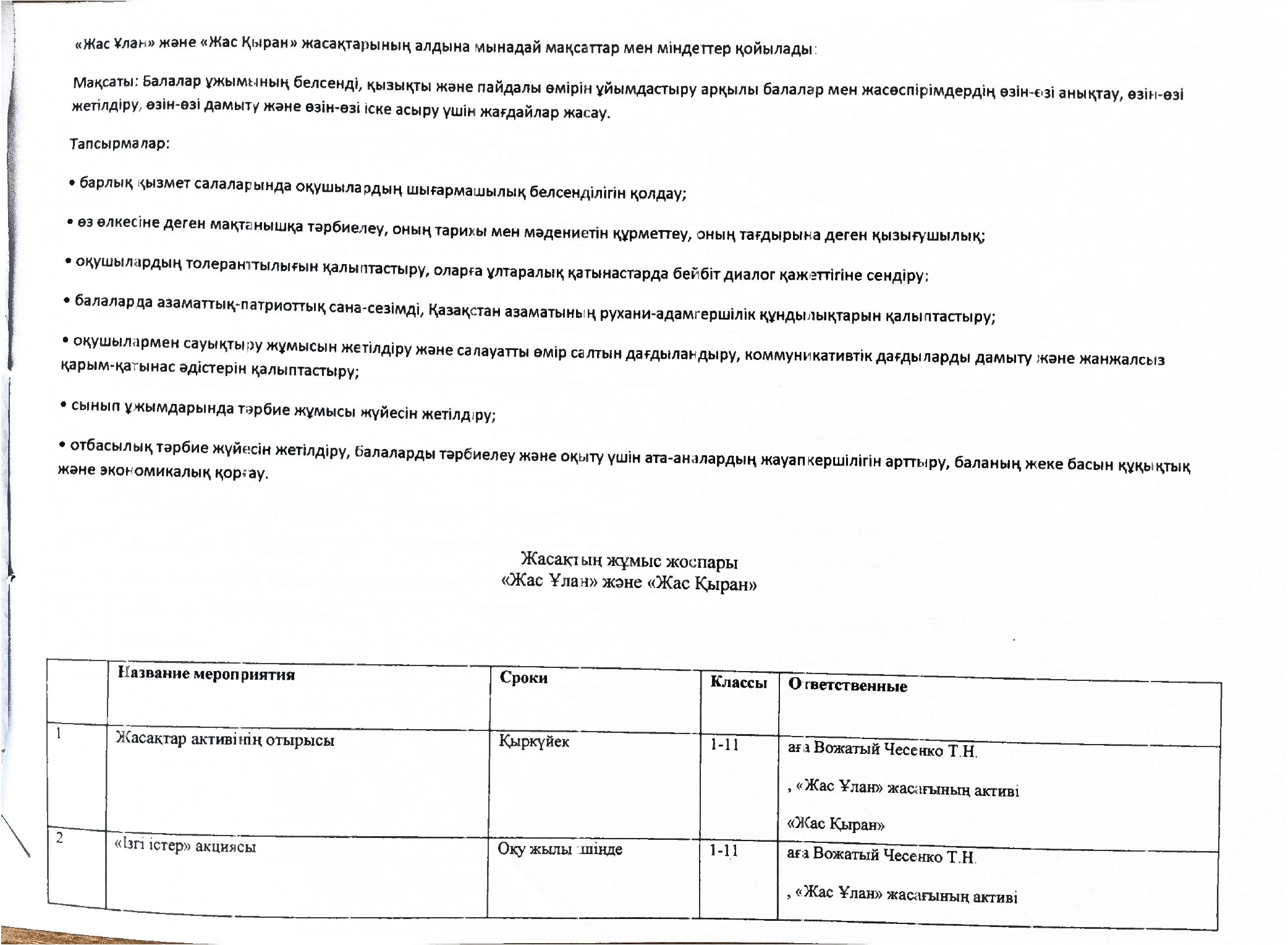
- "Жас Ұлан", "Жас Қыран"
- "Волонтёр"
- ОҚУ МЕКТЕБІ
- Сыбайлас жемқорлыққа қарсы саясат
- ҰБТ
- МОДО
- Консультациялық пункт
- Сенім жәшігі
- Көңілді жаз
"Жасұлан", "жасқыран"ерікті мектеп клубының жұмыс жоспары





